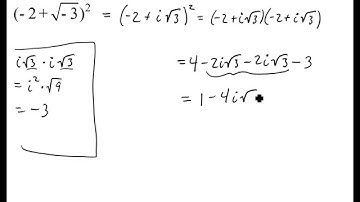
1.4 Complex Numbers - Perform operations with square roots of negative numbers (example 1)

Tonton & Download Video Musik Gratis

⬇ DOWNLOAD NOW
Jika muncul iklan pop-up, tutup lalu klik tombol kembali

Download lagu 1.4 Complex Numbers - Perform operations with square roots of negative numbers (example 1) secara gratis hanya untuk keperluan promosi. Dukung artis favorit kamu dengan membeli musik original di iTunes atau platform resmi lainnya.