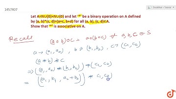
Define a binary operation * on the set ltmath gt ltmrow gt ltmi gtA lt/mi gt ltmo gt= lt

Tonton & Download Video Musik Gratis

⬇ DOWNLOAD NOW
Jika muncul iklan pop-up, tutup lalu klik tombol kembali

Download lagu Define a binary operation * on the set ltmath gt ltmrow gt ltmi gtA lt/mi gt ltmo gt= lt secara gratis hanya untuk keperluan promosi. Dukung artis favorit kamu dengan membeli musik original di iTunes atau platform resmi lainnya.