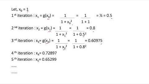
#computerscience #ktusyllabus Successive Approximation Method Solved KTU Qn May 2019

Tonton & Download Video Musik Gratis

⬇ DOWNLOAD NOW
Jika muncul iklan pop-up, tutup lalu klik tombol kembali

Download lagu #computerscience #ktusyllabus Successive Approximation Method Solved KTU Qn May 2019 secara gratis hanya untuk keperluan promosi. Dukung artis favorit kamu dengan membeli musik original di iTunes atau platform resmi lainnya.