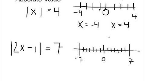
Absolute Value Real Life Magic! #education #learn #linear #math #mathematics #quick

Tonton & Download Video Musik Gratis

⬇ DOWNLOAD NOW
Jika muncul iklan pop-up, tutup lalu klik tombol kembali

Download lagu Absolute Value Real Life Magic! #education #learn #linear #math #mathematics #quick secara gratis hanya untuk keperluan promosi. Dukung artis favorit kamu dengan membeli musik original di iTunes atau platform resmi lainnya.