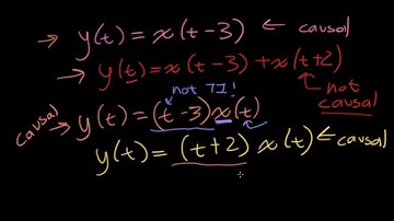
ECE3084 Bonus Lecture 7A: Time-Variant Example, y(t) = x(t) cos(w_o t), (Signals & Systems, GA Tech)

Tonton & Download Video Musik Gratis

⬇ DOWNLOAD NOW
Jika muncul iklan pop-up, tutup lalu klik tombol kembali

Download lagu ECE3084 Bonus Lecture 7A: Time-Variant Example, y(t) = x(t) cos(w_o t), (Signals & Systems, GA Tech) secara gratis hanya untuk keperluan promosi. Dukung artis favorit kamu dengan membeli musik original di iTunes atau platform resmi lainnya.