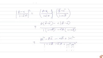
Class 11- Complex Number-If alpha and beta are different complex numbers with Modulus of beta=1,Find

Tonton & Download Video Musik Gratis

⬇ DOWNLOAD NOW
Jika muncul iklan pop-up, tutup lalu klik tombol kembali

Download lagu Class 11- Complex Number-If alpha and beta are different complex numbers with Modulus of beta=1,Find secara gratis hanya untuk keperluan promosi. Dukung artis favorit kamu dengan membeli musik original di iTunes atau platform resmi lainnya.