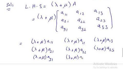
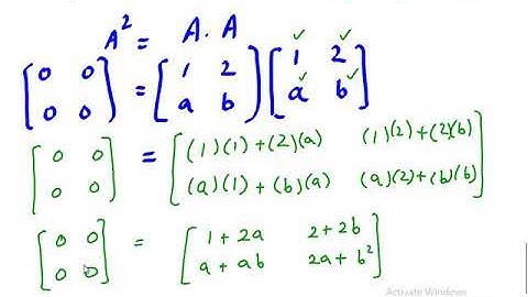
Matrices and Determinants chapter 3 Ex 3.1(Fsc part 1) Math.

Tonton & Download Video Musik Gratis

⬇ DOWNLOAD NOW
Jika muncul iklan pop-up, tutup lalu klik tombol kembali

Download lagu Matrices and Determinants chapter 3 Ex 3.1(Fsc part 1) Math. secara gratis hanya untuk keperluan promosi. Dukung artis favorit kamu dengan membeli musik original di iTunes atau platform resmi lainnya.