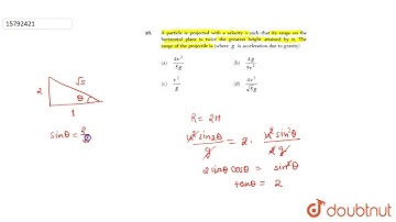
A particle is projected with a velocity \(\mathrm{v}\) such that its range on the horizontal pla....

Tonton & Download Video Musik Gratis

⬇ DOWNLOAD NOW
Jika muncul iklan pop-up, tutup lalu klik tombol kembali

Download lagu A particle is projected with a velocity \(\mathrm{v}\) such that its range on the horizontal pla.... secara gratis hanya untuk keperluan promosi. Dukung artis favorit kamu dengan membeli musik original di iTunes atau platform resmi lainnya.