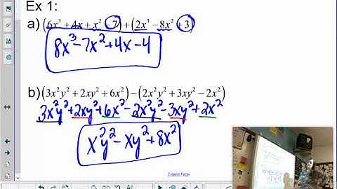
Adding, Subtracting, and Multiplying Polynomials (Lesson 3-2)

Tonton & Download Video Musik Gratis

⬇ DOWNLOAD NOW
Jika muncul iklan pop-up, tutup lalu klik tombol kembali

Download lagu Adding, Subtracting, and Multiplying Polynomials (Lesson 3-2) secara gratis hanya untuk keperluan promosi. Dukung artis favorit kamu dengan membeli musik original di iTunes atau platform resmi lainnya.