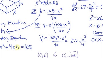
Eric's Calculus Lecture: Optimization - Maximize Volume of Rectangular Solid

Tonton & Download Video Musik Gratis

⬇ DOWNLOAD NOW
Jika muncul iklan pop-up, tutup lalu klik tombol kembali

Download lagu Eric's Calculus Lecture: Optimization - Maximize Volume of Rectangular Solid secara gratis hanya untuk keperluan promosi. Dukung artis favorit kamu dengan membeli musik original di iTunes atau platform resmi lainnya.