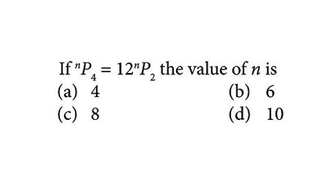
Permutation and Combination - Linear Permutation - MCQ - If P(n,4) = 20 P(n, 2) find n.

Tonton & Download Video Musik Gratis

⬇ DOWNLOAD NOW
Jika muncul iklan pop-up, tutup lalu klik tombol kembali

Download lagu Permutation and Combination - Linear Permutation - MCQ - If P(n,4) = 20 P(n, 2) find n. secara gratis hanya untuk keperluan promosi. Dukung artis favorit kamu dengan membeli musik original di iTunes atau platform resmi lainnya.