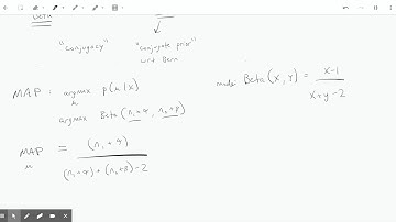
Bayesian Bernoulli Parameter Estimation with a Conjugate Beta Prior- Posterior, MAP (Part 1)

Tonton & Download Video Musik Gratis

⬇ DOWNLOAD NOW
Jika muncul iklan pop-up, tutup lalu klik tombol kembali

Download lagu Bayesian Bernoulli Parameter Estimation with a Conjugate Beta Prior- Posterior, MAP (Part 1) secara gratis hanya untuk keperluan promosi. Dukung artis favorit kamu dengan membeli musik original di iTunes atau platform resmi lainnya.