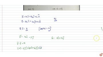
Consider a vector `vec(F)= 4hat(i)-3hat(j)`. Another vector that is perpendicular to

Tonton & Download Video Musik Gratis

⬇ DOWNLOAD NOW
Jika muncul iklan pop-up, tutup lalu klik tombol kembali

Download lagu Consider a vector `vec(F)= 4hat(i)-3hat(j)`. Another vector that is perpendicular to secara gratis hanya untuk keperluan promosi. Dukung artis favorit kamu dengan membeli musik original di iTunes atau platform resmi lainnya.