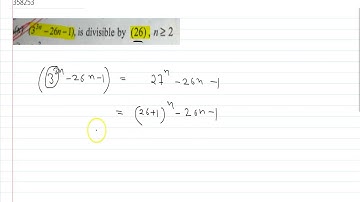
For all `n in N, 3^(3n)-26^(n)-1` is divisible by

Tonton & Download Video Musik Gratis

⬇ DOWNLOAD NOW
Jika muncul iklan pop-up, tutup lalu klik tombol kembali

Download lagu For all `n in N, 3^(3n)-26^(n)-1` is divisible by secara gratis hanya untuk keperluan promosi. Dukung artis favorit kamu dengan membeli musik original di iTunes atau platform resmi lainnya.