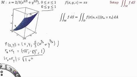
M234 - 13.7 Example 1 - Surface Integral of a Scalar Function

Tonton & Download Video Musik Gratis

⬇ DOWNLOAD NOW
Jika muncul iklan pop-up, tutup lalu klik tombol kembali

Download lagu M234 - 13.7 Example 1 - Surface Integral of a Scalar Function secara gratis hanya untuk keperluan promosi. Dukung artis favorit kamu dengan membeli musik original di iTunes atau platform resmi lainnya.