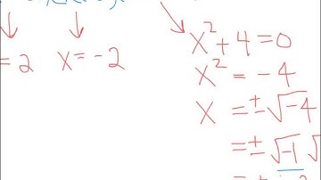
Exercise 2.6 Q3 9th Class Maths solutions | Chapter 2 Complex numbers | Ali Zubair

Tonton & Download Video Musik Gratis

⬇ DOWNLOAD NOW
Jika muncul iklan pop-up, tutup lalu klik tombol kembali

Download lagu Exercise 2.6 Q3 9th Class Maths solutions | Chapter 2 Complex numbers | Ali Zubair secara gratis hanya untuk keperluan promosi. Dukung artis favorit kamu dengan membeli musik original di iTunes atau platform resmi lainnya.