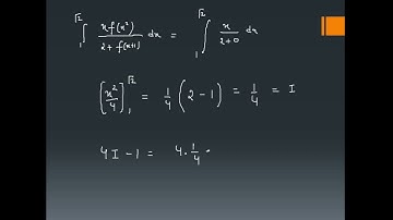
Definite Integration- 2 JEE- ADVANCED ( Single Correct Answer ) Question solution

Tonton & Download Video Musik Gratis

⬇ DOWNLOAD NOW
Jika muncul iklan pop-up, tutup lalu klik tombol kembali

Download lagu Definite Integration- 2 JEE- ADVANCED ( Single Correct Answer ) Question solution secara gratis hanya untuk keperluan promosi. Dukung artis favorit kamu dengan membeli musik original di iTunes atau platform resmi lainnya.