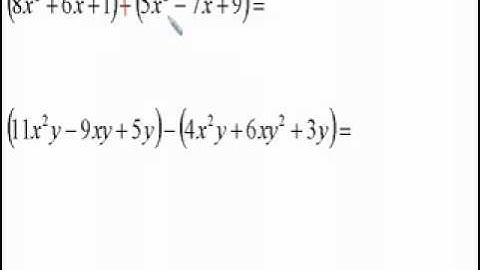
12.4, 12.5 - Adding and Subtracting Polynomials screencast

Tonton & Download Video Musik Gratis

⬇ DOWNLOAD NOW
Jika muncul iklan pop-up, tutup lalu klik tombol kembali

Download lagu 12.4, 12.5 - Adding and Subtracting Polynomials screencast secara gratis hanya untuk keperluan promosi. Dukung artis favorit kamu dengan membeli musik original di iTunes atau platform resmi lainnya.