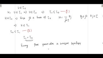
I Sem PG BASIC TOPOLOGY Class 16 Empty intersection and condition for a set to be base without cover

Tonton & Download Video Musik Gratis

⬇ DOWNLOAD NOW
Jika muncul iklan pop-up, tutup lalu klik tombol kembali

Download lagu I Sem PG BASIC TOPOLOGY Class 16 Empty intersection and condition for a set to be base without cover secara gratis hanya untuk keperluan promosi. Dukung artis favorit kamu dengan membeli musik original di iTunes atau platform resmi lainnya.