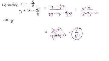
Simplify a Complex Fraction by Multiplying Numerator & Denominator by LCD of All Terms in Expression

Tonton & Download Video Musik Gratis

⬇ DOWNLOAD NOW
Jika muncul iklan pop-up, tutup lalu klik tombol kembali

Download lagu Simplify a Complex Fraction by Multiplying Numerator & Denominator by LCD of All Terms in Expression secara gratis hanya untuk keperluan promosi. Dukung artis favorit kamu dengan membeli musik original di iTunes atau platform resmi lainnya.