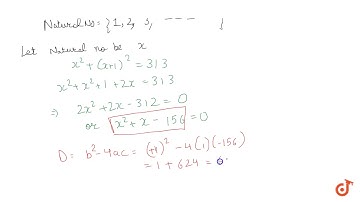
Q. The sum of the squares of two consecutive natural numbers is 41. find the numbers.

Tonton & Download Video Musik Gratis

⬇ DOWNLOAD NOW
Jika muncul iklan pop-up, tutup lalu klik tombol kembali

Download lagu Q. The sum of the squares of two consecutive natural numbers is 41. find the numbers. secara gratis hanya untuk keperluan promosi. Dukung artis favorit kamu dengan membeli musik original di iTunes atau platform resmi lainnya.