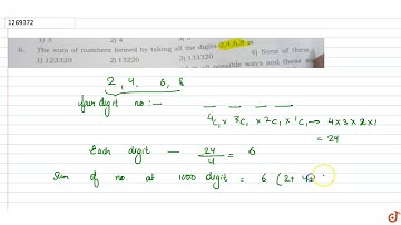
The sum of all four-digit numbers that can be formed by using the digits 2,4,6,8 (when repetition...

Tonton & Download Video Musik Gratis

⬇ DOWNLOAD NOW
Jika muncul iklan pop-up, tutup lalu klik tombol kembali

Download lagu The sum of all four-digit numbers that can be formed by using the digits 2,4,6,8 (when repetition... secara gratis hanya untuk keperluan promosi. Dukung artis favorit kamu dengan membeli musik original di iTunes atau platform resmi lainnya.