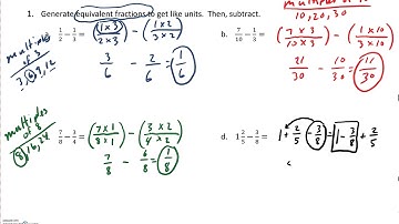
Eureka math grade 5 module 3 lesson 11 problem set word problems, #2, 3, 4

Tonton & Download Video Musik Gratis

⬇ DOWNLOAD NOW
Jika muncul iklan pop-up, tutup lalu klik tombol kembali

Download lagu Eureka math grade 5 module 3 lesson 11 problem set word problems, #2, 3, 4 secara gratis hanya untuk keperluan promosi. Dukung artis favorit kamu dengan membeli musik original di iTunes atau platform resmi lainnya.