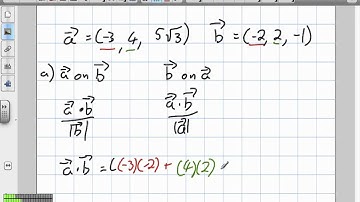
Grade 12 Calculus & Vectors - The magnitude of the scalar projection of (1, m, 0) on (2, 2, 1) is...

Tonton & Download Video Musik Gratis

⬇ DOWNLOAD NOW
Jika muncul iklan pop-up, tutup lalu klik tombol kembali

Download lagu Grade 12 Calculus & Vectors - The magnitude of the scalar projection of (1, m, 0) on (2, 2, 1) is... secara gratis hanya untuk keperluan promosi. Dukung artis favorit kamu dengan membeli musik original di iTunes atau platform resmi lainnya.