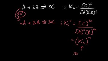
16.5b Using Le Chatelier's Principle to predict the result of changing concentration or volume

Tonton & Download Video Musik Gratis

⬇ DOWNLOAD NOW
Jika muncul iklan pop-up, tutup lalu klik tombol kembali

Download lagu 16.5b Using Le Chatelier's Principle to predict the result of changing concentration or volume secara gratis hanya untuk keperluan promosi. Dukung artis favorit kamu dengan membeli musik original di iTunes atau platform resmi lainnya.