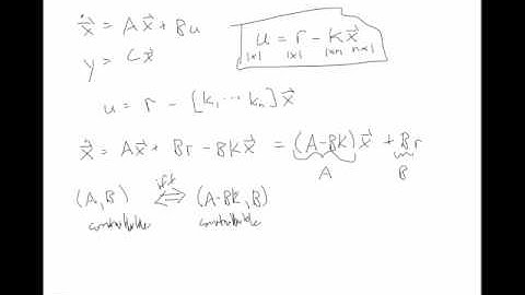
Week 08: Lecture 40: Data-driven Control: Stabilization by state feedback

Tonton & Download Video Musik Gratis

⬇ DOWNLOAD NOW
Jika muncul iklan pop-up, tutup lalu klik tombol kembali

Download lagu Week 08: Lecture 40: Data-driven Control: Stabilization by state feedback secara gratis hanya untuk keperluan promosi. Dukung artis favorit kamu dengan membeli musik original di iTunes atau platform resmi lainnya.