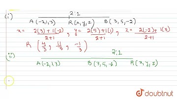
Find the position vector of a point R which divides the line joining `A(-2,1,3)` and `B(3,5,-2)` in

Tonton & Download Video Musik Gratis

⬇ DOWNLOAD NOW
Jika muncul iklan pop-up, tutup lalu klik tombol kembali

Download lagu Find the position vector of a point R which divides the line joining `A(-2,1,3)` and `B(3,5,-2)` in secara gratis hanya untuk keperluan promosi. Dukung artis favorit kamu dengan membeli musik original di iTunes atau platform resmi lainnya.