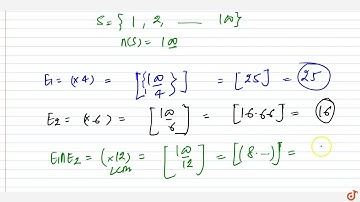
One number is chosen from numbers 1 to 200. Find the probability that it is divisible by 4 or 6?

Tonton & Download Video Musik Gratis

⬇ DOWNLOAD NOW
Jika muncul iklan pop-up, tutup lalu klik tombol kembali

Download lagu One number is chosen from numbers 1 to 200. Find the probability that it is divisible by 4 or 6? secara gratis hanya untuk keperluan promosi. Dukung artis favorit kamu dengan membeli musik original di iTunes atau platform resmi lainnya.