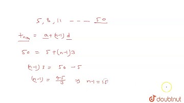
For an A.P., it is given that the first term (a)=5, common difference (d)=3, and..∣Class10th∣

Tonton & Download Video Musik Gratis

⬇ DOWNLOAD NOW
Jika muncul iklan pop-up, tutup lalu klik tombol kembali

Download lagu For an A.P., it is given that the first term (a)=5, common difference (d)=3, and..∣Class10th∣ secara gratis hanya untuk keperluan promosi. Dukung artis favorit kamu dengan membeli musik original di iTunes atau platform resmi lainnya.