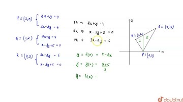
Using method of integration find the area bounded by the lines 2x + y= 4, 3x-2y=6 and x -3y + 5=0.

Tonton & Download Video Musik Gratis

⬇ DOWNLOAD NOW
Jika muncul iklan pop-up, tutup lalu klik tombol kembali

Download lagu Using method of integration find the area bounded by the lines 2x + y= 4, 3x-2y=6 and x -3y + 5=0. secara gratis hanya untuk keperluan promosi. Dukung artis favorit kamu dengan membeli musik original di iTunes atau platform resmi lainnya.