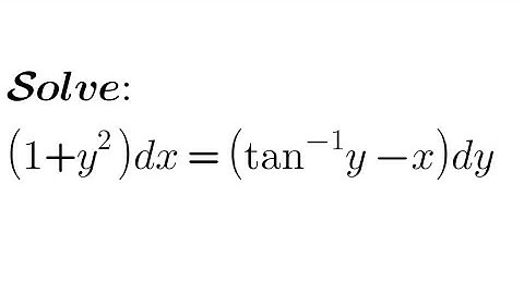
Q) If 𝑥=𝑓(𝑦) is the solution of the differential equation(1+𝑦^2 )+(𝑥−2𝑒^(tan^(−1) 𝑦) )

Tonton & Download Video Musik Gratis

⬇ DOWNLOAD NOW
Jika muncul iklan pop-up, tutup lalu klik tombol kembali

Download lagu Q) If 𝑥=𝑓(𝑦) is the solution of the differential equation(1+𝑦^2 )+(𝑥−2𝑒^(tan^(−1) 𝑦) ) secara gratis hanya untuk keperluan promosi. Dukung artis favorit kamu dengan membeli musik original di iTunes atau platform resmi lainnya.