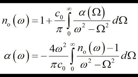
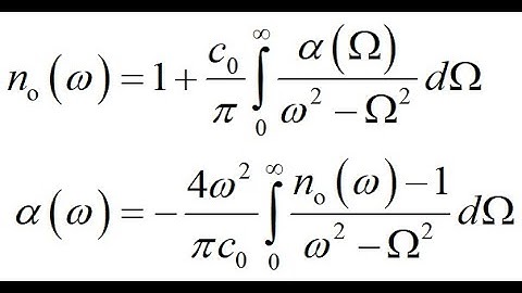
Kramers-Kronig Relations | Motivation and Derivation | Linear Response Theory

Tonton & Download Video Musik Gratis

⬇ DOWNLOAD NOW
Jika muncul iklan pop-up, tutup lalu klik tombol kembali

Download lagu Kramers-Kronig Relations | Motivation and Derivation | Linear Response Theory secara gratis hanya untuk keperluan promosi. Dukung artis favorit kamu dengan membeli musik original di iTunes atau platform resmi lainnya.