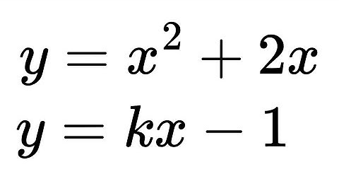
Intersection of a Line and a Curve (Line Does Not Intersect the Curve)

Tonton & Download Video Musik Gratis

⬇ DOWNLOAD NOW
Jika muncul iklan pop-up, tutup lalu klik tombol kembali

Download lagu Intersection of a Line and a Curve (Line Does Not Intersect the Curve) secara gratis hanya untuk keperluan promosi. Dukung artis favorit kamu dengan membeli musik original di iTunes atau platform resmi lainnya.