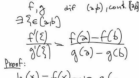
Fun Mathematics 6 - Continuous and Differentiable Functions (1/5)

Tonton & Download Video Musik Gratis

⬇ DOWNLOAD NOW
Jika muncul iklan pop-up, tutup lalu klik tombol kembali

Download lagu Fun Mathematics 6 - Continuous and Differentiable Functions (1/5) secara gratis hanya untuk keperluan promosi. Dukung artis favorit kamu dengan membeli musik original di iTunes atau platform resmi lainnya.