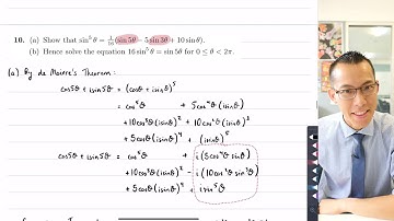
Solving Higher Degree Trigonometric Equations (1 of 3: Initial use of de Moivre's Theorem)

Tonton & Download Video Musik Gratis

⬇ DOWNLOAD NOW
Jika muncul iklan pop-up, tutup lalu klik tombol kembali

Download lagu Solving Higher Degree Trigonometric Equations (1 of 3: Initial use of de Moivre's Theorem) secara gratis hanya untuk keperluan promosi. Dukung artis favorit kamu dengan membeli musik original di iTunes atau platform resmi lainnya.