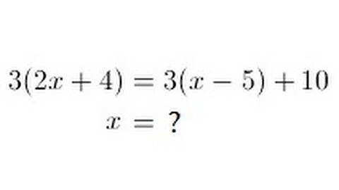
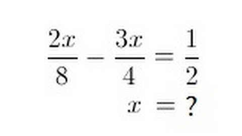
Algebra - Solving Linear Equations In One Variable: Lesson 1 (4 of 4) Decimal

Tonton & Download Video Musik Gratis

⬇ DOWNLOAD NOW
Jika muncul iklan pop-up, tutup lalu klik tombol kembali

Download lagu Algebra - Solving Linear Equations In One Variable: Lesson 1 (4 of 4) Decimal secara gratis hanya untuk keperluan promosi. Dukung artis favorit kamu dengan membeli musik original di iTunes atau platform resmi lainnya.