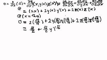
Explicit and Implicit Functions Lecture Part 4: Differentiating Implicit Functions

Tonton & Download Video Musik Gratis

⬇ DOWNLOAD NOW
Jika muncul iklan pop-up, tutup lalu klik tombol kembali

Download lagu Explicit and Implicit Functions Lecture Part 4: Differentiating Implicit Functions secara gratis hanya untuk keperluan promosi. Dukung artis favorit kamu dengan membeli musik original di iTunes atau platform resmi lainnya.