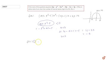
If the roots of the quadratic equation (4 p-p^2-5) x^2 -(2 p-1) x+3 p=0 lie on either side of uni...

Tonton & Download Video Musik Gratis

⬇ DOWNLOAD NOW
Jika muncul iklan pop-up, tutup lalu klik tombol kembali

Download lagu If the roots of the quadratic equation (4 p-p^2-5) x^2 -(2 p-1) x+3 p=0 lie on either side of uni... secara gratis hanya untuk keperluan promosi. Dukung artis favorit kamu dengan membeli musik original di iTunes atau platform resmi lainnya.