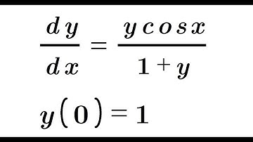
Ex 2: Initial Value Problem Using Separation of Variables (Square Root)

Tonton & Download Video Musik Gratis

⬇ DOWNLOAD NOW
Jika muncul iklan pop-up, tutup lalu klik tombol kembali

Download lagu Ex 2: Initial Value Problem Using Separation of Variables (Square Root) secara gratis hanya untuk keperluan promosi. Dukung artis favorit kamu dengan membeli musik original di iTunes atau platform resmi lainnya.