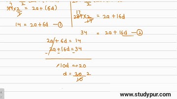
If the sum of first 7 terms of an A.P. is 49 and that of first 17 terms is 289, find the sum of its

Tonton & Download Video Musik Gratis

⬇ DOWNLOAD NOW
Jika muncul iklan pop-up, tutup lalu klik tombol kembali

Download lagu If the sum of first 7 terms of an A.P. is 49 and that of first 17 terms is 289, find the sum of its secara gratis hanya untuk keperluan promosi. Dukung artis favorit kamu dengan membeli musik original di iTunes atau platform resmi lainnya.