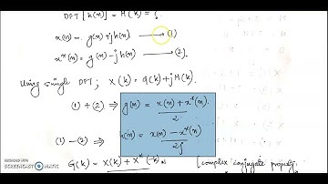
Digital Signal Processing Module 2 Part 8 - Efficient computation of 2N point real sequence

Tonton & Download Video Musik Gratis

⬇ DOWNLOAD NOW
Jika muncul iklan pop-up, tutup lalu klik tombol kembali

Download lagu Digital Signal Processing Module 2 Part 8 - Efficient computation of 2N point real sequence secara gratis hanya untuk keperluan promosi. Dukung artis favorit kamu dengan membeli musik original di iTunes atau platform resmi lainnya.