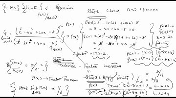
Navigating Limits part 2: Limit of a Linear, Polynomial and Rational function.

Tonton & Download Video Musik Gratis

⬇ DOWNLOAD NOW
Jika muncul iklan pop-up, tutup lalu klik tombol kembali

Download lagu Navigating Limits part 2: Limit of a Linear, Polynomial and Rational function. secara gratis hanya untuk keperluan promosi. Dukung artis favorit kamu dengan membeli musik original di iTunes atau platform resmi lainnya.