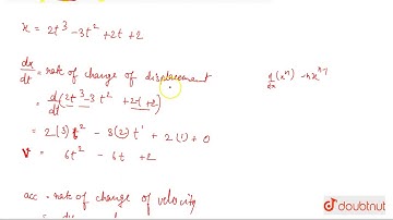
Displacement (x) of a particle is related to time (t) as x = at + bt2 − ct3

Tonton & Download Video Musik Gratis

⬇ DOWNLOAD NOW
Jika muncul iklan pop-up, tutup lalu klik tombol kembali

Download lagu Displacement (x) of a particle is related to time (t) as x = at + bt2 − ct3 secara gratis hanya untuk keperluan promosi. Dukung artis favorit kamu dengan membeli musik original di iTunes atau platform resmi lainnya.