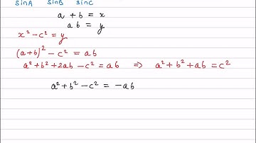
In a triangle the sum of two sides is x and the product of the same two sides is y.If x^2-c^2=y |JEE

Tonton & Download Video Musik Gratis

⬇ DOWNLOAD NOW
Jika muncul iklan pop-up, tutup lalu klik tombol kembali

Download lagu In a triangle the sum of two sides is x and the product of the same two sides is y.If x^2-c^2=y |JEE secara gratis hanya untuk keperluan promosi. Dukung artis favorit kamu dengan membeli musik original di iTunes atau platform resmi lainnya.