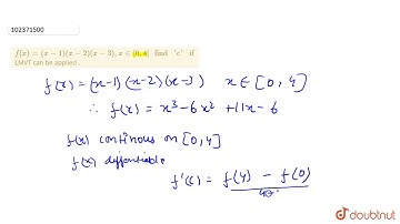
Verify Mean Value Theorem for the function : f(x)=(x-1)(x-2)(x-3) in [0,4] . Find all poss...

Tonton & Download Video Musik Gratis

⬇ DOWNLOAD NOW
Jika muncul iklan pop-up, tutup lalu klik tombol kembali

Download lagu Verify Mean Value Theorem for the function : f(x)=(x-1)(x-2)(x-3) in [0,4] . Find all poss... secara gratis hanya untuk keperluan promosi. Dukung artis favorit kamu dengan membeli musik original di iTunes atau platform resmi lainnya.