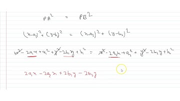
If the equation of the locus of a point equidistant from the points (a_1,b_1) and(a_2,b_2) is(a_...

Tonton & Download Video Musik Gratis

⬇ DOWNLOAD NOW
Jika muncul iklan pop-up, tutup lalu klik tombol kembali

Download lagu If the equation of the locus of a point equidistant from the points (a_1,b_1) and(a_2,b_2) is(a_... secara gratis hanya untuk keperluan promosi. Dukung artis favorit kamu dengan membeli musik original di iTunes atau platform resmi lainnya.