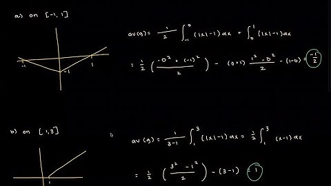
graph the function and find its average value over the given interval. 61. g(x) = | x | - 1

Tonton & Download Video Musik Gratis

⬇ DOWNLOAD NOW
Jika muncul iklan pop-up, tutup lalu klik tombol kembali

Download lagu graph the function and find its average value over the given interval. 61. g(x) = | x | - 1 secara gratis hanya untuk keperluan promosi. Dukung artis favorit kamu dengan membeli musik original di iTunes atau platform resmi lainnya.