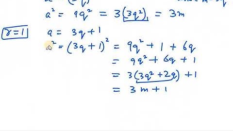
Write whether the square of any positive integer can be of the form 3 m+2, where m is a natural n...

Tonton & Download Video Musik Gratis

⬇ DOWNLOAD NOW
Jika muncul iklan pop-up, tutup lalu klik tombol kembali

Download lagu Write whether the square of any positive integer can be of the form 3 m+2, where m is a natural n... secara gratis hanya untuk keperluan promosi. Dukung artis favorit kamu dengan membeli musik original di iTunes atau platform resmi lainnya.