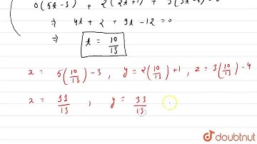
Example 1 Find the image of the point (1,6,3) on the line x/1=y−1/2=z−2/3 #threedimensionalgeometry

Tonton & Download Video Musik Gratis

⬇ DOWNLOAD NOW
Jika muncul iklan pop-up, tutup lalu klik tombol kembali

Download lagu Example 1 Find the image of the point (1,6,3) on the line x/1=y−1/2=z−2/3 #threedimensionalgeometry secara gratis hanya untuk keperluan promosi. Dukung artis favorit kamu dengan membeli musik original di iTunes atau platform resmi lainnya.