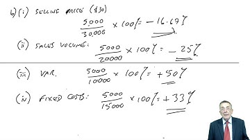
CIMA P1 Sensitivity Analysis Example | Techniques for Dealing with Uncertainty

Tonton & Download Video Musik Gratis

⬇ DOWNLOAD NOW
Jika muncul iklan pop-up, tutup lalu klik tombol kembali

Download lagu CIMA P1 Sensitivity Analysis Example | Techniques for Dealing with Uncertainty secara gratis hanya untuk keperluan promosi. Dukung artis favorit kamu dengan membeli musik original di iTunes atau platform resmi lainnya.